Acqua+gym+in+gravidanza%3A+la+scienza+la+consiglia
universomammait
/2015/10/08/acquagym-benefici/amp/

Acqua gym in gravidanza: la scienza la consiglia

Published by
Maria Sole Bosaia

Acqua gym in gravidanza: uno studio sul benessere percepito

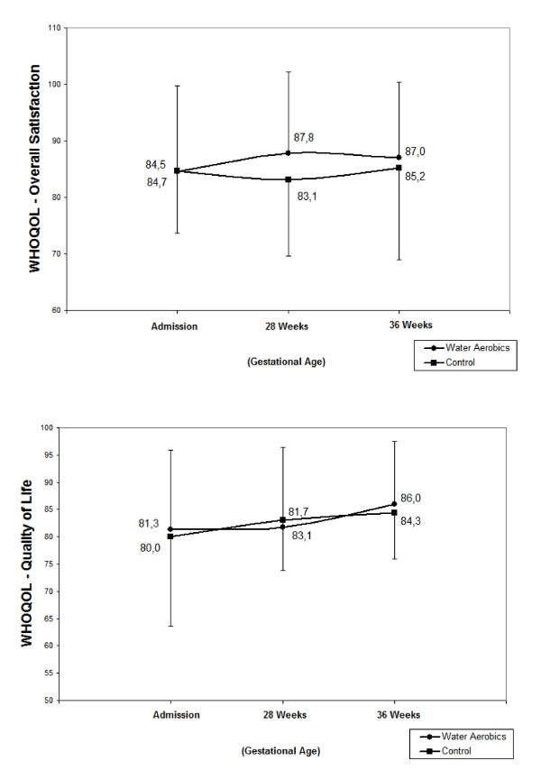
I ricercatori dell’università brasiliana di Campinas hanno avviato uno studio, comparato sulla pratica dell’acqua gym e la qualità della vita durante la gravidanza che è stato pubblicato su Reproductive Health.

Ecco come si è svolta la ricerca:

  • sono stati considerati 2 gruppi di donne sedentarie che avevano una gravidanza a basso rischio ed erano alla 20° settimana di gravidanza
  • non sono state incluse mamme che hanno fatto due o uno parti cesarei precedenti, donne con problemi neurologici, cardiovascolari, polmonari, del sistema endocrino, o problemi particolari riguardanti la gravidanza, donne con una massa corporea superiore a 30 bmi
  • le donne del primo gruppo hanno svolto un programma aerobico acquatico
  • le donne nel secondo gruppo hanno seguito le cure prenatali di routine
  • durante la gravidanza le donne hanno dovuto compilare 2 questionari (a 20°, 28°, 36° settimane):
    1. uno per valutare la percezione delle cure prenatali
    2. e l’altro per valutare la qualità della vita
  • le donne del primo gruppo hanno partecipato a un corso di acqua gym 3 volte la settimana per 50 minuti in una piscina la cui temperature era tra 28° e 30°

 

Acqua gym in gravidanza: i risultati dello studio

Innanziutto bisogna premettere che l’età media delle donne che aveva praticato acqua gym era di 26 anni, a dispetto dei 24 della media dell’altro gruppo. Il 52% delle donne del primo gruppo aveva studiato per 8 o più anni, mentre nell’altro gruppo era l’83%.

La maggior parte dei mariti delle donne aveva fatto studi più elevati del livello elementare, mentre la maggior parte delle donne di entrambi i gruppi non avevano un lavoro, il 55% nel primo e il 63% nel secondo.

  1. Il 71% delle donne che hanno partecipato all’acqua gym sperava di migliorare il proprio benessere fisico, alla fine dello studio
  2. il 65% delle donne riteneva che aver seguito questo corso avrebbe reso il loro parto più semplice
  3. il 25% continuava a ritenere che l’acqua gym avesse giovato al loro benessere
  4. il 90% delle partecipanti ha riferito che secondo loro il corso di acqua gym aveva arrecato benessere
  5. il 45% delle donne dell’acqua gym e il 77% del gruppo di controllo hanno invece ammesso di essere state felici alla notizia della gravidanza

Dallo studio si evince un’omogeneità dei due gruppi nella percezione della qualità della vita. Le mamme dell’acqua gym a 28 e 36 settimane sostenevano che quel tipo di attività contribuisse al loro benessere, ma comparando i risultati riguardanti la qualità della vita non sono state riscontrate differenze rilevanti.

Dallo studio è emerso quindi che esiste un’associazione tra praticare esercizio fisico e l’aumento del benessere.

 

Acqua gym in gravidanza: tanti i benefici

In generale l’acqua gym, come abbiamo preannunciato, può:

  1. diminuire il gonfiore alle gambe
  2. alleviare lo stress sui muscoli
  3. rinfrescare e abbassare la temperatura corporea delle mamme che è più alta della norma
  4. favorire il rilascio delle tossine
  5. aiutare a prepararsi al parto perché invita le mamme a concentrarsi sulla respirazione
  6. stimolare la circolazione sanguigna
  7. ridurre la ritenzione idrica
  8. aiutare le mamme a riguadagnare forza negli addominali dopo il parto.

Unimamme e voi avete mai preso in considerazione l’idea di praticare questo sport?

Page: 1 2

Maria Sole Bosaia

Recent Posts

  • News

Armonia di Design: Come le Tende a Pacchetto Migliorano l’Acustica e l’Atmosfera di una Stanza

Questo articolo esplora come le tende a pacchetto possono migliorare l'acustica e l'atmosfera di una…

1 mese fa
  • News

Concepire dopo l’uso della pillola anticoncezionale: Guida essenziale per le future mamme

Interrompere la pillola anticoncezionale può portare a domande e paure. Tuttavia, la fertilità può tornare…

1 mese fa
  • News

La Rivelazione Scientifiche del Natale: Il Vero Volto di Babbo Natale Ricostruito in 3D dagli Scienziati Inglesi

Scienziati inglesi danno un volto a San Nicola, l'uomo dietro la leggenda di Babbo Natale,…

1 mese fa
  • News

Smartwatch per Bambini: La Nuova Scelta dei Genitori al Posto dello Smartphone

Questo articolo esplora l'uso degli smartwatch per bambini come alternativa agli smartphone, offrendo contatto immediato,…

1 mese fa
  • News

Sesta Malattia nei Bambini: Come Riconoscerla e Cosa Fare

La sesta malattia, comune tra i bambini di 6-24 mesi, è un'infezione virale che causa…

1 mese fa
  • News

Gingerbread vs Speculoos: Svelate tutte le differenze tra i due biscotti speziati natalizi

Scopri la storia e le differenze tra i biscotti speziati più amati delle feste: il…

1 mese fa