I+bambini+sotto+i+10+anni+e+le+donne+sono+meno+colpiti%3A+la+conferma+dall%26%238217%3BIslanda+%7C+FOTO
universomammait
/2020/05/06/i-bambini-sotto-i-10-anni-e-le-donne-sono-meno-colpiti-la-conferma-dallislanda-foto/amp/
Salute e benessere bambini

I bambini sotto i 10 anni e le donne sono meno colpiti: la conferma dall’Islanda | FOTO

Published by
Redazione Universo Mamma

I bambini sotto i 10 anni sono meno colpiti dal virus SARS-CoV-2: la conferma nello studio effettuato in Islanda, che è il paese al mondo con il numero più alto di test per abitanti.

I bambini sotto i 10 anni e le donne sono meno colpiti: la conferma dell’Islanda | FOTO – Universomamma.it

LEGGI ANCHE —> “NESSUNO DEI BAMBINI RISULTATO POSITIVO AL CORONAVIRUS”: LO STUDIO MODELLO

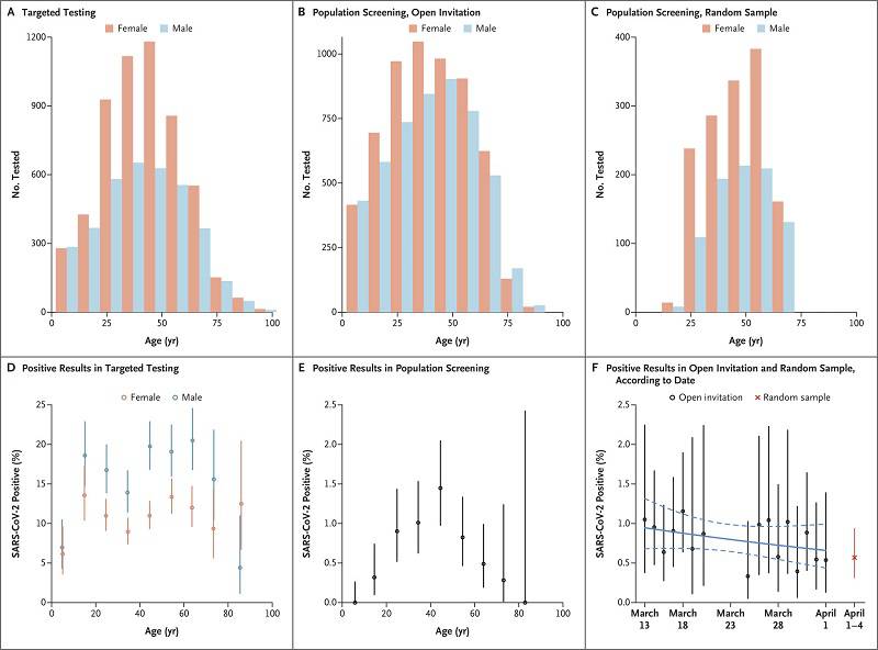
L’Islanda, un’isola di 364mila abitanti, con un aeroporto internazionale, ha registrato 1.799 casi confermati e solo 10 decessi al 5 maggio.

Alcuni ricercatori dell’università d’Islanda e dell’azienda biofarmaceutica deCode genetics-Amges hanno effettuato una campagna di test i cui risultati sono stati pubblicati il 14 aprile sul New England Journal of Medicine.

Lo studio sul Covid-19 in Islanda: bambini sotto 10 anni e donne meno a rischio

I bambini sotto i 10 anni e le donne sono meno colpiti: la conferma dell’Islanda | FOTO – Universomamma.it (Credits: The New England Journal of Medecin)

In Islanda il primo caso di Covid-19 è stato diagnosticato alla fine di febbraio e si trattava di una persona di ritorno dall’Italia.  Per quantificare la presenza dell’epidemia in Islanda, è stato sottoposto a test il 6% degli abitanti, pari a 22.279 persone.

Alcuni test sono stati realizzati tra fine gennaio e fine marzo, su 9199 persone considerate ad alto rischio di infezione perché:

  • con sintomi
  • tornati da un viaggio da un paese ad alto rischio
  • entrati in contatto con una persona infetta.

Successivamente sono stati invitati a sottoporsi a screening:

  • 10797 persone senza sintomi tra il 13 marzo e il 1 aprile
  • un campione casuale di 2283 persone tra i 1 aprile e il 4.

Ogni persona risultata positiva è stata isolata e interrogata sui suoi contatti, che sono stati rintracciati e invitati a mettersi in quarantena.

LEGGI ANCHE —> BAMBINI E COVID-19: POCO CONTAGIOSI SECONDO UNO STUDIO

In percentuale il numero maggiore di test positivi sono stati trovati, come era prevedibile,  nel primo gruppo di persone, quelle ad alto rischio: il 13,3% (1221 persone) contro lo 0,8% (87 persone) del gruppo di 10797 e lo 0,6% (13 persone) del campione casuale. Tra l’altro, di questi ultimi gruppi, il 43% delle persone risultate positive ai test non avevano sintomi al momento dell’esame.

Ragionando per età lo studio conferma che i bambini sotto ai 10 anni sono risultati meno contagiati rispetto agli adulti: il numero dei risultati positivi è stato del 6,7% contro il 13,7%.

La differenza è ancora più marcato nel gruppo della seconda fase: nessuno degli oltre 800 bambini sotto i 10 anni è risultato positivo ai test, mentre sono risultati più di 100 casi tra i bambini dai 10 anni in su.

Anche le donne sono risultate in percentuale meno contagiate degli uomini: 11% contro il 16,7% degli uomini nel gruppo dei sintomatici, e 0,6% contro lo 0,9% nel gruppo dei test non mirati.

I bambini sotto i 10 anni e le donne sono meno colpiti: la conferma dell’Islanda | FOTO – Universomamma.it (Credits: The New England Journal of Medecin)

Va detto che a partire dal 16 marzo le autorità islandesi hanno:

  • vietato riunioni di oltre 100 persone (dal 24 marzo riunioni limitate a 20 persone)
  • promosso l’autoisolamento per gli anziani e malati gravi
  • vietato visite case di cura e ospedali
  • disposto la chiusure di università e college
  • hanno lasciato aperte le scuole elementari e i centri diurni (con limiti su numero di bambini in classe e regole sulla distanza)
  • invitato chi tornava da viaggi a mettersi in quarantena
  • considerato i viaggi fuori dall’Islanda ad alto rischio a partire dal 19 marzo

Non è stato quindi imposto un lockdown vero e proprio.

Antoine Flahault, direttore dell’Istituto di Sanità Globale presso l’Università di Ginevra ha dichiarato su Le Monde.: “Pensavamo che i bambini svolgessero un ruolo importante nella propagazione dell’infezione, ma lo studio islandese mostra che l’incidenza del Sars-cov-2 tra loro è debole, un elemento che si allinea ai dati cinesi. Questo potrebbe rappresentare un argomento a favore della riapertura delle scuole”. Ad essere d’accordo con lui anche il professore Arnaud Fontanet dell’istituto Pasteur, componente del consiglio scientifico per il Covid-19 a supporto del governo francese, che aggiunge: “Questo studio ci fornisce informazioni sulla circolazione del virus tra i bambini e mostra che tra loro il Sars-cov-2 è nettamente meno diffuso. È coerente con il fatto che non siano mai state segnalate, nel mondo, scuole che hanno dato vita a un focolaio, come osserviamo invece per l’influenza”.

Secondo i promotori, deCODE Genetics, “i risultati di questo studio daranno al resto del mondo una base scientifica più solida per assumere provvedimenti in materia di salute pubblica“. 

LEGGI ANCHE —> A SCUOLA IL RISCHIO DI CONTAGIO E’ BASSO: LO STUDIO AUSTRALIANO 

E voi unimamme che ne pensate di questi risultati? Sapevate che le scuole elementari erano rimaste aperte?

Per restare sempre aggiornato su notizie, ricerche e tanto altro continua a seguirci sui nostri profili FACEBOOK INSTAGRAM o su GOOGLENEWS.

I bambini sotto i 10 anni e le donne sono meno colpiti: la conferma dell’Islanda | FOTO – Universomamma.it
Redazione Universo Mamma

Recent Posts

  • Alimentazione dei bambini

Cibi e allergeni: le nuove disposizioni per i bambini fino ai 12 anni

Questo articolo esplora le nuove disposizioni su cibi e allergeni per i bambini, sottolineando l'importanza…

1 giorno fa
  • Salute e benessere bambini

Malanni di stagione: come non andare in panico se tuo figlio ha la febbre alta

Questo articolo offre consigli pratici su come gestire la febbre alta nei bambini, riconoscere i…

1 settimana fa
  • Allattamento

Ruttino neonato: mito o necessità? La verità e come farlo nel modo giusto

Dopo ogni poppata, i genitori attendono con ansia il momento in cui il loro piccolo…

1 settimana fa
  • Scuola

Compiti a casa: un incubo? Come trasformare lo studio in un gioco

Pianti disperati e proteste per non fare i compiti a casa sono scene quotidiane in…

1 settimana fa
  • Salute e benessere in gravidanza

Gonfiore addominale in gravidanza: cause e rimedi

Questo articolo esplora le cause dei gonfiori addominali in gravidanza e offre consigli pratici per…

1 settimana fa
  • Adozione e affido

Celebrità adottate: ecco 9 incredibili storie poco conosciute

Nel mondo dello showbusiness ci sono diverse celebrità adottate di cui si sa molto poco:…

1 settimana fa